18005577775
当前位置:赣州信息网  -  本地文章  -  本地资讯

阜阳房价惊现“5”字头!住宅备案价最高单价仅6538元/㎡!-阜阳房价

2018/9/20 20:15:37 评论:0 浏览量:1432

9月20日,阜阳市发展和改革委员会(阜阳市物价局)

公布了阜合新城的阜阳绿地·紫峰公馆和

经开区的天盛凤凰城住宅备案房价

共备案757套住宅房源

其中绿地紫峰公馆最高备案单价仅6538元/㎡

而天盛凤凰城最低备案单价5015元/㎡

阜阳房价播报:绿地·紫峰公馆共234套住宅房源 

住宅备案均价6126.5元/㎡

【阜阳绿地·紫峰公馆】,位于阜阳市颍州区阜颍路与港口路交口,由阜阳绿地置业有限公司开发建设项目。

(项目效果图)

(项目位置图)

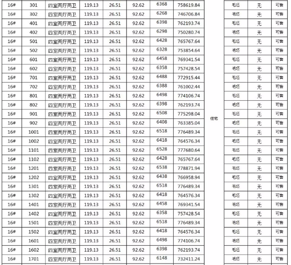
此次明码标价备案为5#、16#、17#共234套住宅房源,住宅备案均价约6126.5元/㎡。数据来源于阜阳市发展和改革委员会(阜阳物价局)。

由下图可知,阜阳绿地·紫峰公馆此次备案房价最低单价5478元/㎡,最高备案单价仅6538元/㎡。

向下滑动查看具体房价↓

阜阳房价播报:天盛凤凰城住宅备案均价5900元/㎡


【天盛凤凰城】,位于阜阳市阜颍路与经二路交口,由阜阳市天盛房地产开发有限责任公司开发建设的项目,

此次明码标价备案为3#、4#、5#、8#共523套住宅房源,住宅备案均价约5900元/㎡。数据来源于阜阳市发展和改革委员会(阜阳物价局)。

由下图可知,此次住宅备案单价最低5015元/㎡。

向下滑动查看具体房价↓

想买房

不知道价格怎么样?

不知道位置好不好?

不知道质量怎么样?

没时间一一去售楼部?

来这里小编专业为你解答

评论 
还没有人评论此条信息!
18005577775
  • Q Q: 23053276
  • 微信: fyhehuo
微信公众号
微信小程序
Copyright © 2025 “赣州信息网”版权所有  |  ICP证:皖ICP备17022776号-2  |  技术支持:阳分类信息网(V2021.1)

皖公网安备 34130202000500号

  |  
网页内的所有信息均为用户自由发布,交易时请注意识别信息的虚假,交易风险自负!网站内容如有侵犯您权益请联系我们删除,举报信息、删除信息联系客服